Trang chủ › Cẩm nang học tập › Cẩm nang kiến thức
Học Là Giỏi cập nhật đề thi và đáp án khảo sát môn Toán 9 tháng 1 của THCS Nhân Chính, giúp học sinh nhanh chóng tra cứu, đối chiếu kết quả, tự đánh giá năng lực sau kỳ kiểm tra.
Mục lục [Ẩn]

Đáp án dưới đây chỉ mang tính chất tham khảo. Mọi thông tin chính thức về đáp án của đề khảo sát này sẽ được cập nhật lại sau.
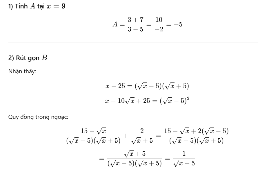
Bài 1: (1 điểm)


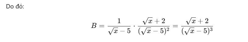
Bài 2: (1,5 điểm)


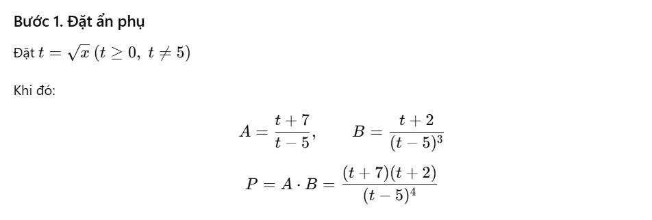
3)




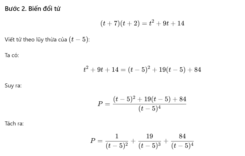
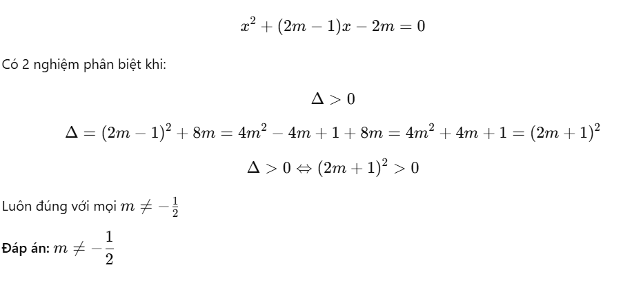
Bài 3: (3 điểm)
1)

2)


3)

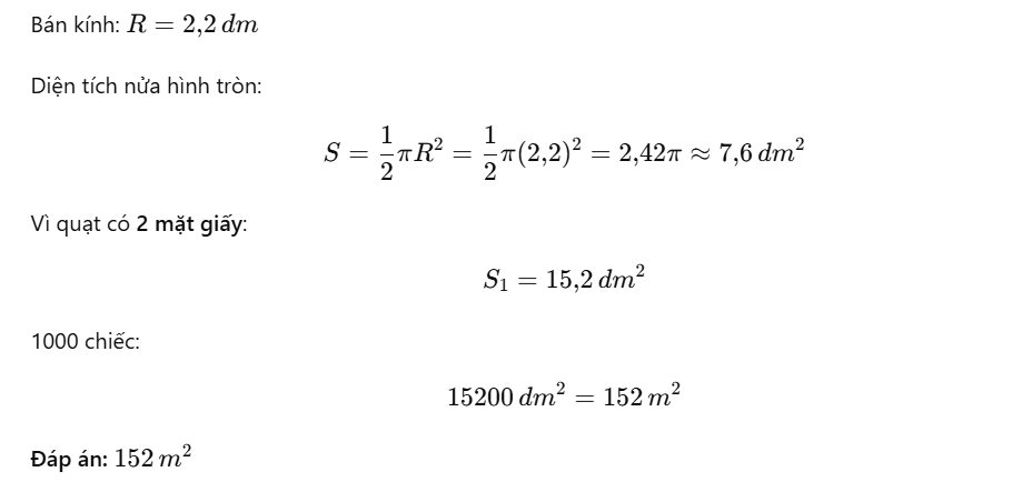
Bài 4: (4 điểm)
1)

2)

Bài 5: (0,5 điểm)

Bài viết đã tổng hợp đầy đủ đề thi và đáp án Toán tháng 1 của THCS Nhân Chính, giúp học sinh thuận tiện tra cứu, tự chấm điểm và biết cách giải đúng cho các bài tập trong đề kiểm tra này. Việc xem lại đề và đáp án sau kỳ kiểm tra là bước quan trọng để củng cố kiến thức và chuẩn bị tốt hơn cho các bài kiểm tra sau. Hệ thống giáo dục Học là Giỏi chúc các bạn có kết quả cao trong các bài thi và bài kiểm tra sắp tới!
Đăng ký học thử ngay hôm nay
Để con học sớm - Ôn sâu và nhận ưu đãi học phí!
Bài viết xem nhiều
Đánh giá về trường THPT Chuyên Nguyễn Huệ Hà Nội 2025
Thứ tư, 5/11/2025
Các trường chuyên ở Hà Nội và những thông tin cần biết
Thứ ba, 4/11/2025
20+ trường THPT ở Hà Nội có chất lượng đào tạo tốt nhất 2025
Thứ năm, 30/10/2025
STEM là gì? Lợi ích và ứng dụng trong giáo dục hiện đại
Thứ ba, 12/8/2025
Khám phá các cách tính cạnh huyền tam giác vuông
Thứ ba, 24/9/2024Khóa Lập Trình Scratch cơ bản trải nghiệm cho trẻ 9-15 tuổi
›
Khóa Lập Trình Scratch chuyên sâu và ứng dụng AI - Level II
›
Khóa luyện thi chuyển cấp 9 vào 10 môn Ngữ Văn
›
Khóa Luyện thi chuyển cấp 9 vào 10 môn Toán
›
Đánh giá năng lực miễn phí - Tiếng Anh lớp 11
›
Đăng ký học thử ngay hôm nay
Để con học sớm - Ôn sâu và nhận ưu đãi học phí!
Bài viết liên quan
Thứ năm, 5/2/2026 09:58 AM
Tổng hợp các dạng bài tập Toán lớp 4 từ cơ bản đến nâng cao
Chương trình Toán lớp 4 là nền tảng quan trọng giúp học sinh củng cố kỹ năng tính toán và làm quen với nhiều dạng bài phức tạp hơn. Nội dung chương trình được mở rộng đáng kể với nhiều kiến thức mới. Việc nắm vững kiến thức cơ bản và nhận diện rõ các dạng bài tập Toán 4 trong chương trình học là điều cần thiết để trẻ có nền tảng tư duy học tốt môn Toán ở chương trình cao hơn. Vậy đâu là các dạng bài tập trọng tâm trẻ cần nắm được trong chương trình Toán 4? Hãy cùng Học là Giỏi tìm hiểu qua bài viết dưới đây!
Thứ năm, 5/2/2026 04:15 AM
Tổng hợp các bài tập Toán lớp 1 từ cơ bản đến nâng cao
Toán lớp 1 là nền tảng quan trọng giúp trẻ hình thành tư duy về số học, kỹ năng tính toán và các khái niệm cơ bản về Toán học. Việc ôn luyện các bài tập toán lớp 1 đa dạng từ cơ bản đến nâng cao sẽ giúp trẻ nắm vững kiến thức nền tảng và tạo tiền đề cho việc học tốt môn Toán ở bậc Tiểu học. Bài viết dưới đây của Học là Giỏi sẽ tổng hợp hệ thống các bài Toán lớp 1 theo từng dạng bài, hỗ trợ phụ huynh và học sinh dễ dàng ôn luyện hiệu quả.
Thứ tư, 4/2/2026 09:19 AM
Tổng hợp các dạng bài tập Toán lớp 3 kèm đáp án cụ thể
Bài tập toán lớp 3 giữ vai trò quan trọng trong việc tạo nền tảng kiến thức và củng cố tư duy toán học bậc tiểu học cho trẻ. Đối với chương trình Toán lớp 3, nội dung các dạng Toán đã mở rộng đáng kể với các số có bốn, năm chữ số, các dạng biểu thức, hình học cơ bản, và các bài tập mang tính ứng dụng cao. Để giúp học sinh nắm vững kiến thức chương trình Toán 3, Học là Giỏi đã hệ thống các dạng bài tập quan trọng trong chương trình này qua bài viết dưới đây, giúp các em thuận tiện hơn trong việc ôn tập và học tốt môn Toán.
Thứ ba, 3/2/2026 08:23 AM
Tổng hợp các dạng Toán tư duy lớp 6 đầy đủ nhất kèm lời giải
Toán tư duy lớp 6 là chương trình chuyển tiếp quan trọng ở bậc THCS. Đối với chương trình Toán tư duy cấp 2, học sinh sẽ được làm quen nhiều hơn với các dạng bài suy luận, phân tích và tư duy phức tạp hơn. Có thể coi việc nắm chắc kiến thức Toán tư duy 6 là tiền đề để học tốt Toán ở bậc THCS, tạo thói quen tư duy nhanh, nhạy bén cho trẻ khi học Toán. Vậy Toán tư duy 6 gồm những dạng bài nào? Hãy cùng Học là Giỏi tìm hiểu qua bài viết dưới đây!
Thứ hai, 2/2/2026 10:23 AM
Tổng hợp những dạng Toán tư duy lớp 4 đầy đủ nhất
Trong chương trình tiểu học, Toán lớp 4 là chương trình giúp học sinh tiếp cận những dạng toán tư duy nhiều hơn và phức tạp hơn. So với Toán tư duy lớp 3, đối với lớp 4, học sinh sẽ được làm quen với nhiều dạng bài nâng cao khó hơn, đòi hỏi tư duy sâu và khả năng phân tích dữ liệu đề bài kĩ càng. Vậy chương trình Toán tư duy lớp 4 gồm những dạng bài nào mà trẻ cần nắm được? Hãy cùng Học là Giỏi tìm hiểu qua bài viết dưới đây!
Thứ hai, 2/2/2026 03:18 AM
Tổng hợp các dạng Toán tư duy lớp 3 từ cơ bản đến nâng cao
Trong chương trình tiểu học, toán tư duy lớp 3 là phần kiến thức có độ khó và đòi hỏi tư duy nhất định ở trẻ. Đây là chương trình giúp rèn luyện khả năng suy luận, phân tích và giải quyết vấn đề. Các dạng bài tập không chỉ nhằm kiểm tra kỹ năng tính toán mà còn yêu cầu học sinh biết liên kết dữ kiện và lựa chọn cách giải phù hợp. Vậy Toán tư duy cho trẻ lớp 3 gồm những dạng bài nào? Hãy cùng Học là Giỏi tìm hiểu qua bài viết dưới đây!